Упр.155 Задачи повышенной сложности ГДЗ Колмогоров 10-11 класс (Алгебра)
Решение #1

Рассмотрим вариант решения задания из учебника Колмогоров, Абрамов, Дудницын 10 класс, Просвещение:
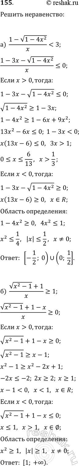
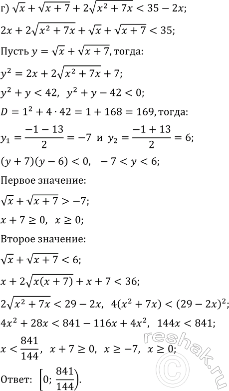
155. Решите неравенства:
а) (1-v(1-4x^2))/x < 3;
б) (v(x^2-1)+1)/x?1;
в) 4x^2+12xv(1+x)?27(1+x);
г) vx+v(x+7)+2v(x^2+7x) < 35-2x.
Популярные решебники 10 класс Все решебники
*размещая тексты в комментариях ниже, вы автоматически соглашаетесь с пользовательским соглашением