Упр.152 Задачи повышенной сложности ГДЗ Колмогоров 10-11 класс (Алгебра)
Решение #1

Рассмотрим вариант решения задания из учебника Колмогоров, Абрамов, Дудницын 10 класс, Просвещение:
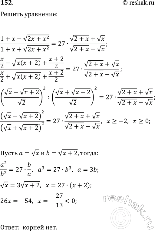
152. Решите уравнение (1+x-v(2x+x^2))/(1+x+v(2x+x^2))=27·(v(2+x)+vx)/(v(2+x)-vx).
Популярные решебники 10 класс Все решебники
*размещая тексты в комментариях ниже, вы автоматически соглашаетесь с пользовательским соглашением