Упр.146 Задачи повышенной сложности ГДЗ Колмогоров 10-11 класс (Алгебра)
Решение #1

Рассмотрим вариант решения задания из учебника Колмогоров, Абрамов, Дудницын 10 класс, Просвещение:
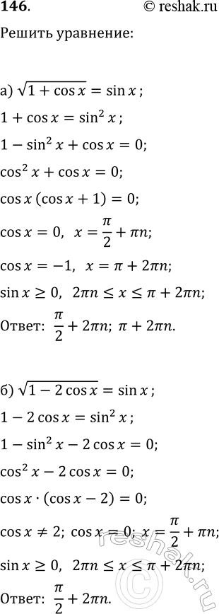
146. Решите уравнения:
а) v(1+cos(x))=sin(x); б) v(1-2cos(x))=sin(x);
в) v(4-3cos(x))=-2cos(x); г) v(2sin(2x))=-2sin(x).
Популярные решебники 10 класс Все решебники
*размещая тексты в комментариях ниже, вы автоматически соглашаетесь с пользовательским соглашением