Упр.134 Задачи повышенной сложности ГДЗ Колмогоров 10-11 класс (Алгебра)
Решение #1

Рассмотрим вариант решения задания из учебника Колмогоров, Абрамов, Дудницын 10 класс, Просвещение:
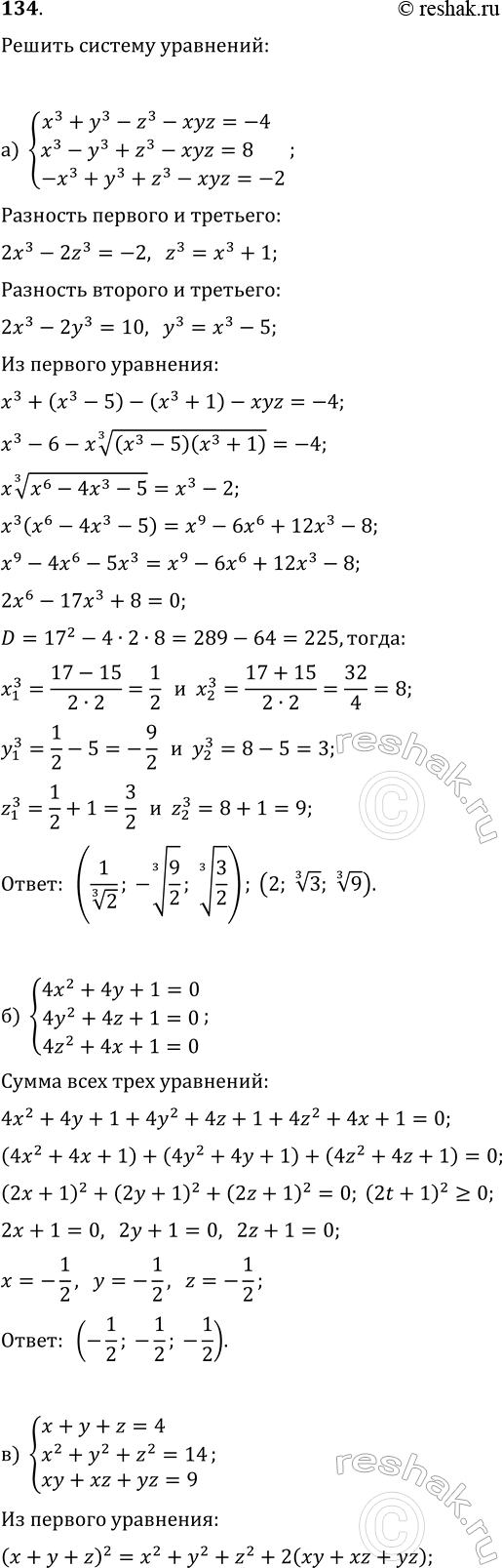
134. Решите системы уравнений:
а) {x^3+y^3-z^3-xyz=-4, x^3-y^3+z^3-xyz=8, -x^3+y^3+z^3-xyz=-2};
б) {4x^2+4y+1=0, 4y^2+4z+1=0, 4z^2+4x+1=0};
в) {x+y+z=4, x^2+y^2+z^2=14, xy+xz+yz=9};
г) {x^2+xy+y^2=37, x^2+xz+z^2=28, y^2+yz+z^2=19}.
Популярные решебники 10 класс Все решебники
*размещая тексты в комментариях ниже, вы автоматически соглашаетесь с пользовательским соглашением