Упр.127 Задачи повышенной сложности ГДЗ Колмогоров 10-11 класс (Алгебра)
Решение #1

Рассмотрим вариант решения задания из учебника Колмогоров, Абрамов, Дудницын 10 класс, Просвещение:
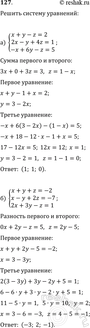
127. Решите системы уравнений:
а) {x+y-z=2, 2x-y+4z=1, -x+6y-z=5};
б) {x+y+z=-2, x-y+2z=-7, 2x+3y-z=1}.
Популярные решебники 10 класс Все решебники
*размещая тексты в комментариях ниже, вы автоматически соглашаетесь с пользовательским соглашением