Упр.9 Глава 4 Вопросы и задачи на повторение ГДЗ Колмогоров 10-11 класс (Алгебра)
Решение #1

Рассмотрим вариант решения задания из учебника Колмогоров, Абрамов, Дудницын 10 класс, Просвещение:
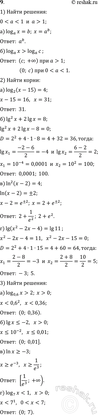
9. 1) а) Укажите все корни уравнения log(a; x)=b (a > 0, a?1).
б) Решите неравенство log(a; x) > log(a; c) (рассмотрите два случая: 0 < a < 1, a > 1).
2) Решите уравнение:
а) log(2; x-15)=4; б) lg^2(x)+2lg(x)=8;
в) ln^2(x-2)=4; г) lg(x^2-2x-4)=lg(11).
3) Решите неравенство:
а) log(0,6; x) > 2; б) lg(x)?-2;
в) ln(x)?-3; г) log(7; x) < 1.
Популярные решебники 10 класс Все решебники
*размещая тексты в комментариях ниже, вы автоматически соглашаетесь с пользовательским соглашением