Упр.5 Глава 4 Вопросы и задачи на повторение ГДЗ Колмогоров 10-11 класс (Алгебра)
Решение #1

Рассмотрим вариант решения задания из учебника Колмогоров, Абрамов, Дудницын 10 класс, Просвещение:
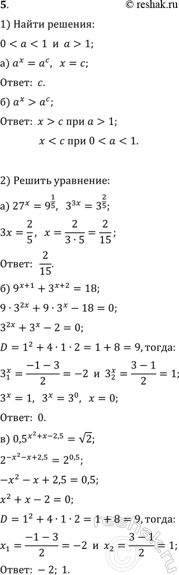
5. 1) а) Найдите корни уравнения a^x=a^c (a > 0, a?1).
б) Решите неравенство a^x > a^c (рассмотрите два случая: 0 < a < 1 и a > 1).
2) Решите уравнение:
а) 27^x=9^(1/5); б) 9^(x+1)+3^(x+2)=18;
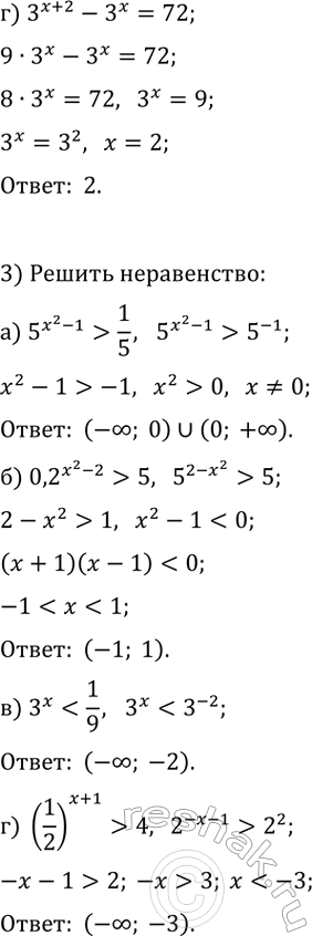
в) 0,5^(x^2+x-2,5)=v2; г) 3^(x+2)-3^x=72.
3) Решите неравенство:
а) 5^(x^2-1) > 1/5; б) 0,2^(x^2-2) > 5;
в) 3^x < 1/9; г) (1/2)^(x+1) > 4.
Популярные решебники 10 класс Все решебники
*размещая тексты в комментариях ниже, вы автоматически соглашаетесь с пользовательским соглашением