Упр.3 Глава 4 Вопросы и задачи на повторение ГДЗ Колмогоров 10-11 класс (Алгебра)
Решение #1

Рассмотрим вариант решения задания из учебника Колмогоров, Абрамов, Дудницын 10 класс, Просвещение:
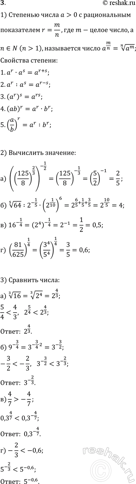
3. 1) Дайте определение степени с рациональным показателем и перечислите основные свойства таких степеней.
2) Найдите значение:
а) ((125/8)^(2/3))^(-1/2);
б) 64^(1/5):2^(-1/5)·(2^(1/10))^6;
в) 16^(-1/4); г) (81/625)^(1/4).
3) Какое из чисел больше:
а) 16^(1/3) или 2^(5/4); б) 3^(-2/3) или 9^(-3/4);
в) 0,3^(4/7) или 0,3^(-4/7); г) 5^(-2/3) или 5^(-0,6)?
Популярные решебники 10 класс Все решебники
*размещая тексты в комментариях ниже, вы автоматически соглашаетесь с пользовательским соглашением