Упр.13 Глава 4 Вопросы и задачи на повторение ГДЗ Колмогоров 10-11 класс (Алгебра)
Решение #1

Рассмотрим вариант решения задания из учебника Колмогоров, Абрамов, Дудницын 10 класс, Просвещение:
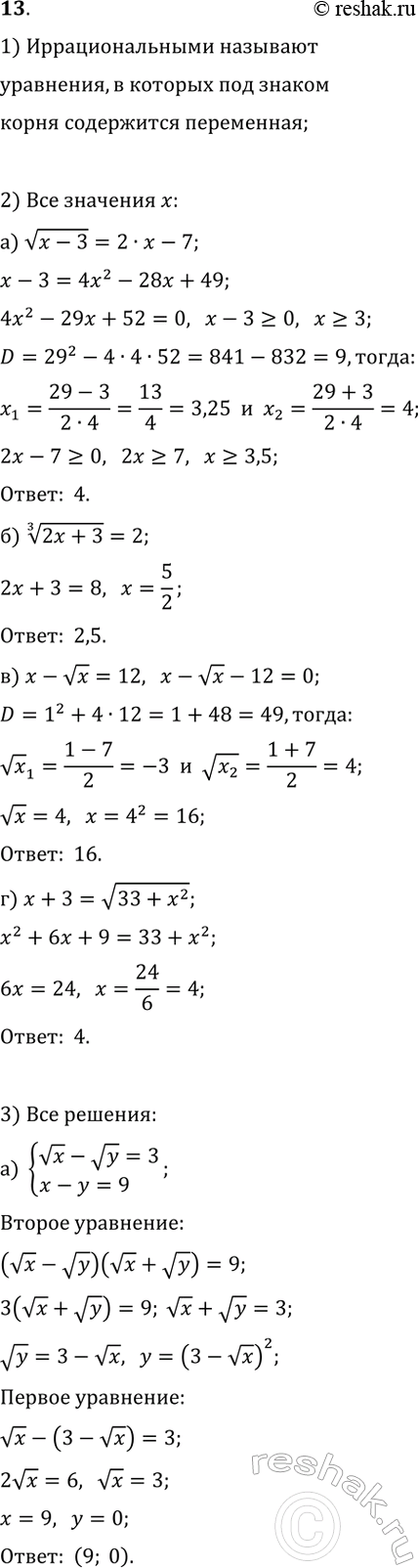
13. 1) Какие уравнения называют иррациональными?
2) Решите уравнения:
а) v(x-3)=2x-7; б) (2x+3)^(1/3)=2;
в) x-vx=12; г) x+3=v(33+x^2).
3) Решите систему уравнений:
а) {vx-vy=3, x-y=9}; б) {x+y-v(xy)=6, xy=16};
в) {vx+vy=4, x-y=8}; г) {x^2+y=7, x^2 y=12}.
Популярные решебники 10 класс Все решебники
*размещая тексты в комментариях ниже, вы автоматически соглашаетесь с пользовательским соглашением