Упр.12 Глава 4 Вопросы и задачи на повторение ГДЗ Колмогоров 10-11 класс (Алгебра)
Решение #1

Рассмотрим вариант решения задания из учебника Колмогоров, Абрамов, Дудницын 10 класс, Просвещение:
12. 1) Какую производную имеет степенная функция y=x^??
2) Постройте график функции и найдите ее производную:
а) y=x^7; б) y=x^(-4); в) y=x^(-0,3); г) y=x^v2.
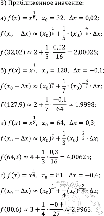
3) Найдите приближенное значение:
а) 32,02^(1/5); б) 127,9^(1/7);
в) 64,3^(1/3); г) 80,6^(1/4).
Популярные решебники 10 класс Все решебники
*размещая тексты в комментариях ниже, вы автоматически соглашаетесь с пользовательским соглашением