Упр.5 Глава 3 Вопросы и задачи на повторение ГДЗ Колмогоров 10-11 класс (Алгебра)
Решение #1

Рассмотрим вариант решения задания из учебника Колмогоров, Абрамов, Дудницын 10 класс, Просвещение:
5. 1) Объясните, что такое интеграл.
2) Запишите формулу Ньютона — Лейбница. Вычислите интеграл:
а) (-3; 3)?dx/(x+10)^2; б) (1; 2)?dx/vx;
в) (?/3; ?)?sin(x)dx; г) (0; 3)?x^2 dx.
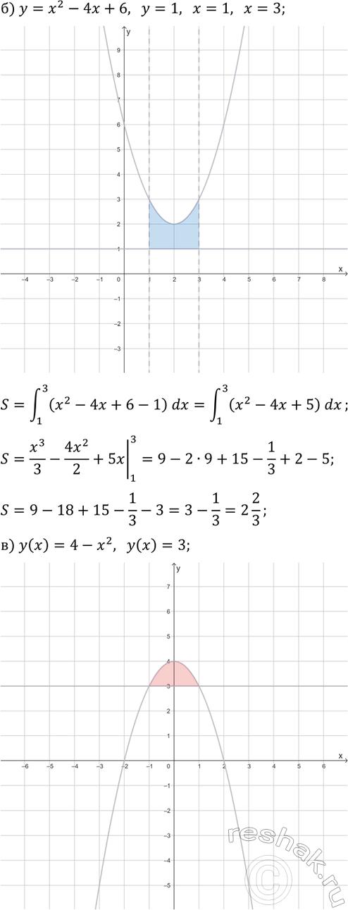
3) Вычислите площадь фигуры, ограниченной линиями:
а) y=x^2, y=3x; б) y=x^2-4x+6, y=1, x=1, x=3;
в) y=4-x^2, y=3; г) y=cos(x), y=1, x=-?/2, x=?/2.
Популярные решебники 10 класс Все решебники
*К сожалению, временные проблемы с публикацией комментариев с мобильных устройств.