Упр.4 Глава 2 Вопросы и задачи на повторение ГДЗ Колмогоров 10-11 класс (Алгебра)
Решение #1

Рассмотрим вариант решения задания из учебника Колмогоров, Абрамов, Дудницын 10 класс, Просвещение:
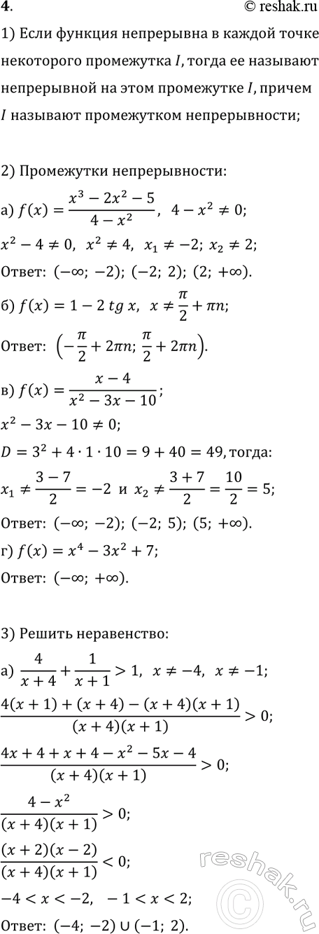
4. 1) Какую функцию называют непрерывной на промежутке?
2) Найдите промежутки непрерывности функции:
а) f(x)=(x^3-2x^2-5)/(4-x^2); б) f(x)=1-2tg(x);
в) f(x)=(x-4)/(x^2-3x-10); г) f(x)=x^4-3x^2+7.
3) Решите неравенство методом интервалов:
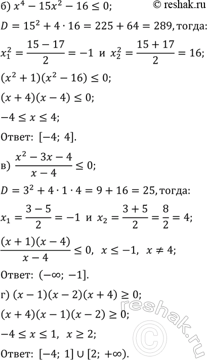
а) 4/(x+4)+1/(x+1) > 1; б) x^4-15x^2-16?0;
в) (x^2-3x-4)/(x-4)?0; г) (x-1)(x-2)(x+4)?0.
Популярные решебники 10 класс Все решебники
*размещая тексты в комментариях ниже, вы автоматически соглашаетесь с пользовательским соглашением