Упр.3 Глава 2 Вопросы и задачи на повторение ГДЗ Колмогоров 10-11 класс (Алгебра)
Решение #1

Рассмотрим вариант решения задания из учебника Колмогоров, Абрамов, Дудницын 10 класс, Просвещение:
3. 1) Сформулируйте правила вычисления производных. Чему равна производная функции f(x)=x^n (n — целое число)?
2) Дифференцируемая функция f задана графиком (рис. 117). Постройте касательные к графику f в указанных точках и найдите приближенные значения производной в точках a, b, с, d.
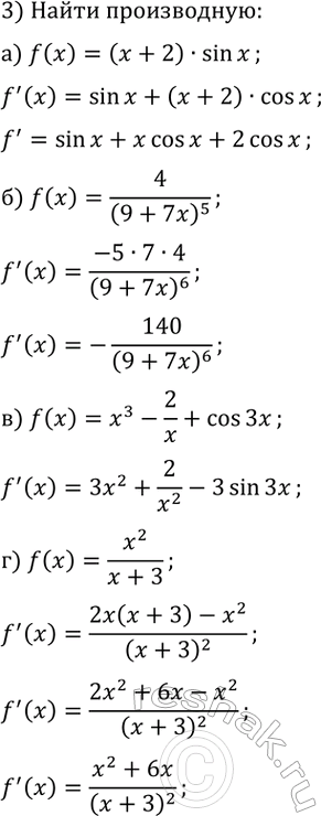
3) Продифференцируйте функцию:
a) f(x)=(x+2)sin(x); б) f(x)=4/(9+7x)^5;
в) f(x)=x^3-2/x+cos(3x); г) f(x)=x^2/(x+3).
Популярные решебники 10 класс Все решебники
*размещая тексты в комментариях ниже, вы автоматически соглашаетесь с пользовательским соглашением