Упр.2 Глава 2 Вопросы и задачи на повторение ГДЗ Колмогоров 10-11 класс (Алгебра)
Решение #1

Рассмотрим вариант решения задания из учебника Колмогоров, Абрамов, Дудницын 10 класс, Просвещение:
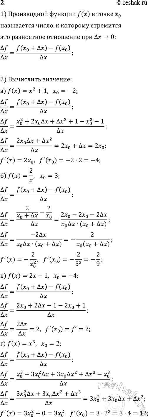
2. 1) Сформулируйте определение производной функции в точке.
2) Пользуясь определением, найдите производную функции f в точке х_0:
а) f(x)=x^2+1, x_0=-2; б) f(x)=2/x, x_0=3;
в) f(x)=2x-1, x_0=-4; г) f(x)=x^3, x_0=2.
Популярные решебники 10 класс Все решебники
*К сожалению, временные проблемы с публикацией комментариев с мобильных устройств.