Упр.1 Глава 2 Вопросы и задачи на повторение ГДЗ Колмогоров 10-11 класс (Алгебра)
Решение #1

Рассмотрим вариант решения задания из учебника Колмогоров, Абрамов, Дудницын 10 класс, Просвещение:
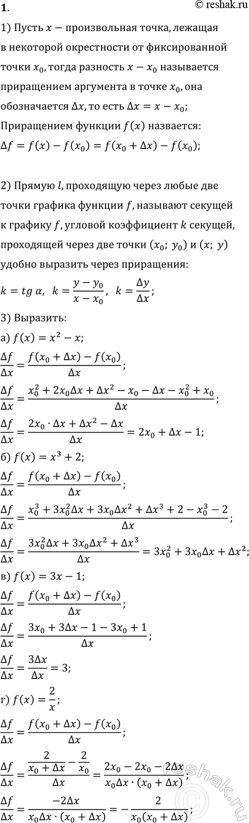
1. 1) Что такое приращение аргумента и приращение функции?
2) В чем состоит геометрический смысл приращений ?x и ?f? отношения ?f/?x?
3) Выразите ?f/?x через x_0 и ?x:
а) f(x)=x^2-x; б) f(x)=x^3+2;
в) f(x)=3x-1; г) f(x)=2/x.
Популярные решебники 10 класс Все решебники
*размещая тексты в комментариях ниже, вы автоматически соглашаетесь с пользовательским соглашением