Упр.3 Глава 1 Вопросы и задачи на повторение ГДЗ Колмогоров 10-11 класс (Алгебра)
Решение #1

Рассмотрим вариант решения задания из учебника Колмогоров, Абрамов, Дудницын 10 класс, Просвещение:
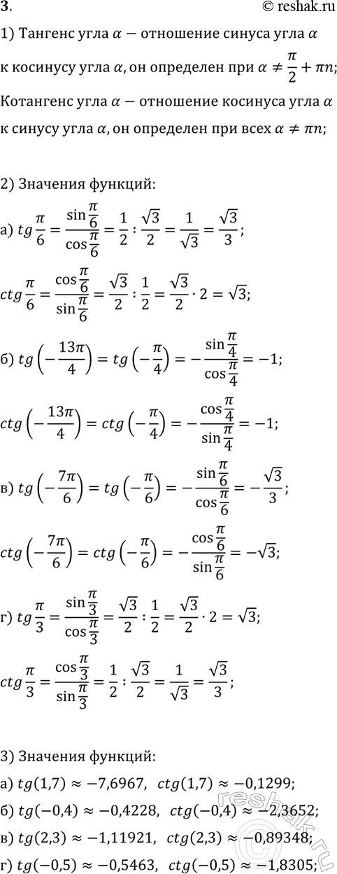
3. 1) Дайте определения тангенса и котангенса числа ?. При каких значениях ? определены tg(?) и ctg(?)?
2) Найдите (не пользуясь калькулятором или таблицами) tg(?) и ctg(?), если ? равно:
а) ?/6; б) -13?/4; в) -7?/6; г) ?/3.
3) Найдите значения tg(?) и ctg(?), если ? равно:
а) 1,7; б) -0,4; в) 2,3; г) -0,5.
Популярные решебники 10 класс Все решебники
*размещая тексты в комментариях ниже, вы автоматически соглашаетесь с пользовательским соглашением