Упр.24 Глава 1 Вопросы и задачи на повторение ГДЗ Колмогоров 10-11 класс (Алгебра)
Решение #1

Рассмотрим вариант решения задания из учебника Колмогоров, Абрамов, Дудницын 10 класс, Просвещение:
24. Решите уравнение:
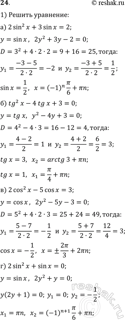
1) а) 2sin^2(x)+3sin(x)=2; б) tg^2(x)-4tg(x)+3=0;
в) 2cos^2(x)-5cos(x)=3; г) 2sin^2(x)+sin(x)=0.
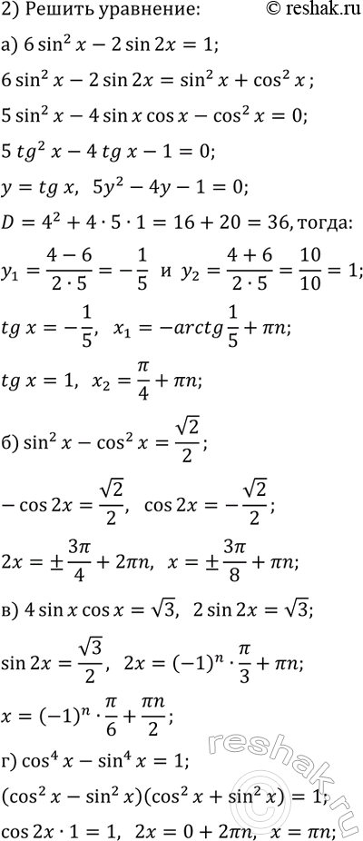
2) а) 6sin^2(x)-2sin(2x)=1; б) sin^2(x)-cos^2(x)=v2/2;
в) 4sin(x)cos(x)=v3; г) cos^4(x)-sin^4(x)=1.
Популярные решебники 10 класс Все решебники
*размещая тексты в комментариях ниже, вы автоматически соглашаетесь с пользовательским соглашением