Упр.275 Повторение ГДЗ Колмогоров 10-11 класс (Алгебра)
Решение #1

Рассмотрим вариант решения задания из учебника Колмогоров, Абрамов, Дудницын 10 класс, Просвещение:
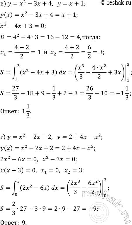
275. Вычислите площадь фигуры, ограниченной линиями:
а) y=0,5x^2-2x+3, y=7-x; б) y=(x-2)^2, y=4-x^2;
в) y=x^2-3x+4, y=x+1; г) y=x^2-2x+2, y=2+4x-x^2.
Популярные решебники 10 класс Все решебники
*К сожалению, временные проблемы с публикацией комментариев с мобильных устройств.