Упр.195 Повторение ГДЗ Колмогоров 10-11 класс (Алгебра)
Решение #1

Рассмотрим вариант решения задания из учебника Колмогоров, Абрамов, Дудницын 10 класс, Просвещение:
195. Решите системы уравнений:
а) {y-log(3; x)=1, x^y=3^12)};
б) {3^(1+log(3; x^2+y^2))=15, log(3; x^2-y^2)-log(3; x-y))=0};
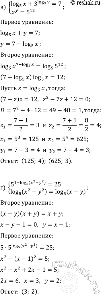
в) {log(5; x)+3^log(3; y)=7, x^y=5^12};
г) {5^(1+log(5; x^2-y^2)=25, log(5; x^2-y^2)=log(5; x+y)}.
Популярные решебники 10 класс Все решебники
*К сожалению, временные проблемы с публикацией комментариев с мобильных устройств.