Упр.189 Повторение ГДЗ Колмогоров 10-11 класс (Алгебра)
Решение #1

Рассмотрим вариант решения задания из учебника Колмогоров, Абрамов, Дудницын 10 класс, Просвещение:
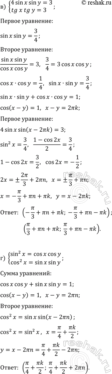
189. Решите системы уравнений:
а) {sin(x)cos(y)=0,25, sin(y)cos(x)=0,75};
б) {x-y=-1/3, cos^2(?x)-cos^2(?y)=0};
в) {4sin(x)sin(y)=3, tg(x)tg(y)=3};
г) {sin^2(x)=cos(x)cos(y), cos^2(x)=sin(x)sin(y)}.
Популярные решебники 10 класс Все решебники
*размещая тексты в комментариях ниже, вы автоматически соглашаетесь с пользовательским соглашением