Упр.167 Повторение ГДЗ Колмогоров 10-11 класс (Алгебра)
Решение #1

Рассмотрим вариант решения задания из учебника Колмогоров, Абрамов, Дудницын 10 класс, Просвещение:
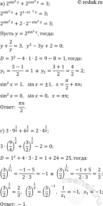
167. Решите уравнения:
а) 3^(2vx)+3^(2vx-1)-3^(2vx-2)=11; б) 5^sin^2(x)-25^cos(x)=0;
в) 2^sin^2(x)+2^cos^2(x)=3; г) 3·9^(1/x)+6^(1/x)=2·4^(1/x).
Популярные решебники 10 класс Все решебники
*размещая тексты в комментариях ниже, вы автоматически соглашаетесь с пользовательским соглашением