Упр.8 Вариант 1 Контрольная работа 4 ГДЗ Мордкович 9 класс (Алгебра)
Решение #1
Решение #2

Рассмотрим вариант решения задания из учебника Мордкович 9 класс, Мнемозина:
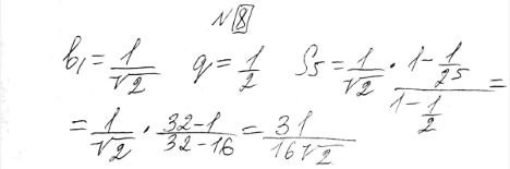
8. Найдите сумму первых пяти членов геометрической прогрессии корень 2/2, корень 2/4, корень 2/8, ... .
Похожие решебники
Популярные решебники 9 класс Все решебники
*К сожалению, временные проблемы с публикацией комментариев с мобильных устройств.