Упр.7 Вариант 1 Контрольная работа 4 ГДЗ Мордкович 9 класс (Алгебра)
Решение #1
Решение #2

Рассмотрим вариант решения задания из учебника Мордкович 9 класс, Мнемозина:
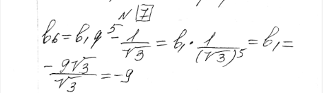
7 Дана геометрическая прогрессия (bn). Найдите b19 если q= корень 3/3, b6=-1/корень 3.
Похожие решебники
Популярные решебники 9 класс Все решебники
*К сожалению, временные проблемы с публикацией комментариев с мобильных устройств.