Упр.6 Вариант 2 Контрольная работа 2 ГДЗ Мордкович 9 класс (Алгебра)
Решение #1
Решение #2

Рассмотрим вариант решения задания из учебника Мордкович 9 класс, Мнемозина:
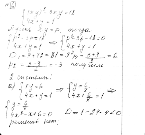
6. Решите методом замены переменных систему уравнений
система
(xy)2-3xy=18,
4x+y=1.
Похожие решебники
Популярные решебники 9 класс Все решебники
*К сожалению, временные проблемы с публикацией комментариев с мобильных устройств.