Упр.4 Вариант 2 Контрольная работа 2 ГДЗ Мордкович 9 класс (Алгебра)
Решение #1
Решение #2

Рассмотрим вариант решения задания из учебника Мордкович 9 класс, Мнемозина:
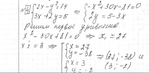
4 Решите методом подстановки систему уравнений
система
2x2-y2=14,
3x+2y=5.
Похожие решебники
Популярные решебники 9 класс Все решебники
*К сожалению, временные проблемы с публикацией комментариев с мобильных устройств.