Упр.6 Вариант 1 Контрольная работа 2 ГДЗ Мордкович 9 класс (Алгебра)
Решение #1
Решение #2

Рассмотрим вариант решения задания из учебника Мордкович 9 класс, Мнемозина:
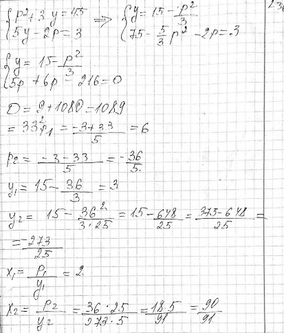
6 Решите методом замены переменных систему уравнений
система
(xy)2+3y=45,
5y-2xy=3.
Похожие решебники
Популярные решебники 9 класс Все решебники
*К сожалению, временные проблемы с публикацией комментариев с мобильных устройств.