Упр.8 Вариант 2 Контрольная работа 1 ГДЗ Мордкович 9 класс (Алгебра)
Решение #1
Решение #2

Рассмотрим вариант решения задания из учебника Мордкович 9 класс, Мнемозина:
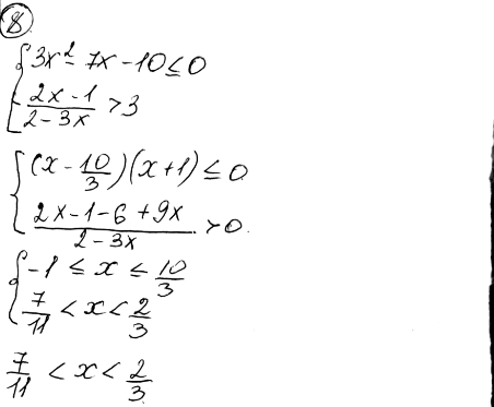
8. Решите систему неравенств
система
3x2-7x-10 < =0,
(2x-1)/(2-3x) > 3.
Похожие решебники
Популярные решебники 9 класс Все решебники
*К сожалению, временные проблемы с публикацией комментариев с мобильных устройств.