Упр.8 Вариант 1 Контрольная работа 1 ГДЗ Мордкович 9 класс (Алгебра)
Решение #1
Решение #2

Рассмотрим вариант решения задания из учебника Мордкович 9 класс, Мнемозина:
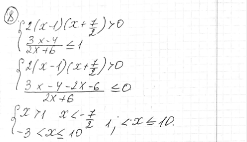
8. Решите систему неравенств
система
2x2+5x-7 > 0,
(3x-4)/(2x+6) < =1.
Похожие решебники
Популярные решебники 9 класс Все решебники
*К сожалению, временные проблемы с публикацией комментариев с мобильных устройств.