Упр.79 Итоговое повторение Арифметическая и геометрическая прогрессии ГДЗ Мордкович 9 класс (Алгебра)
Решение #1
Решение #2

Рассмотрим вариант решения задания из учебника Мордкович 9 класс, Мнемозина:
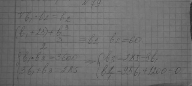
79. Три числа составляют геометрическую прогрессию. Если к первому из них прибавить 25, второе оставить без изменения, а третье разделить на 3, то получатся три числа арифметической прогрессии. Найдите данные числа, если второе число равно 60.
Похожие решебники
Популярные решебники 9 класс Все решебники
*К сожалению, временные проблемы с публикацией комментариев с мобильных устройств.