Упр.40 Итоговое повторение Арифметическая и геометрическая прогрессии ГДЗ Мордкович 9 класс (Алгебра)
Решение #1
Решение #2

Рассмотрим вариант решения задания из учебника Мордкович 9 класс, Мнемозина:
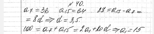
40. Найдите первый член арифметической прогрессии (аn), если a7 = 36, a15 = 64.
Похожие решебники
Популярные решебники 9 класс Все решебники
*размещая тексты в комментариях ниже, вы автоматически соглашаетесь с пользовательским соглашением