Упр.39 Итоговое повторение Арифметическая и геометрическая прогрессии ГДЗ Мордкович 9 класс (Алгебра)
Решение #1
Решение #2

Рассмотрим вариант решения задания из учебника Мордкович 9 класс, Мнемозина:
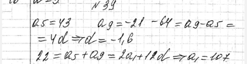
39 Найдите первый член арифметической прогрессии (аn), если a5=43, a9=21.
Похожие решебники
Популярные решебники 9 класс Все решебники
*К сожалению, временные проблемы с публикацией комментариев с мобильных устройств.