Упр.36 Итоговое повторение Задачи на составление уравнений или систем уравнений ГДЗ Мордкович 9 класс (Алгебра)
Решение #1
Решение #2

Рассмотрим вариант решения задания из учебника Мордкович 9 класс, Мнемозина:
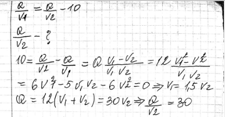
36. Две копировальные машины, работая одновременно, могут выпонить работу за 12 мин. Если будет работать только первая копировальная машина, то она может выполнить всю работу на 10 мин быстрее, чем вторая. За сколько минут всю работу может выполнить вторая копировальная машина?
Похожие решебники
Популярные решебники 9 класс Все решебники
*К сожалению, временные проблемы с публикацией комментариев с мобильных устройств.