Упр.33 Итоговое повторение Задачи на составление уравнений или систем уравнений ГДЗ Мордкович 9 класс (Алгебра)
Решение #1
Решение #2

Рассмотрим вариант решения задания из учебника Мордкович 9 класс, Мнемозина:
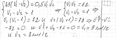
33. Расстояние 36 км один лыжник прошел на 0,5 ч быстрее, чем другой. Найдите скорость каждого лыжника, если скорость одного из них на 1 км/ч больше скорости другого.
Похожие решебники
Популярные решебники 9 класс Все решебники
*К сожалению, временные проблемы с публикацией комментариев с мобильных устройств.