Упр.32 Итоговое повторение Задачи на составление уравнений или систем уравнений ГДЗ Мордкович 9 класс (Алгебра)
Решение #1
Решение #2

Рассмотрим вариант решения задания из учебника Мордкович 9 класс, Мнемозина:
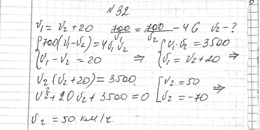
32. Скорость пассажирского поезда на 20 км/ч больше скорости товарного поезда, поэтому расстояние 700 км пассажирский поезд проходит на 4 ч быстрее, чем товарный. Найдите скорость товарного поезда.
Похожие решебники
Популярные решебники 9 класс Все решебники
*К сожалению, временные проблемы с публикацией комментариев с мобильных устройств.