Упр.31 Итоговое повторение Задачи на составление уравнений или систем уравнений ГДЗ Мордкович 9 класс (Алгебра)
Решение #1
Решение #2

Рассмотрим вариант решения задания из учебника Мордкович 9 класс, Мнемозина:
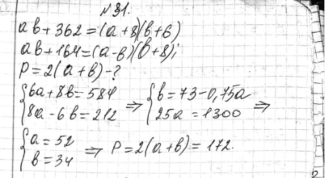
31. Если длину данного прямоугольника увеличить на 8 см, а ширину на 6 см, то площадь прямоугольника увеличится на 632 см2. Если же длину уменьшить на 6 см, а ширину увеличить на 8 см, то площадь прямоугольника увеличится на 164 см2. Найдите периметр данного прямоугольника.
Похожие решебники
Популярные решебники 9 класс Все решебники
*К сожалению, временные проблемы с публикацией комментариев с мобильных устройств.