Упр.30 Итоговое повторение Задачи на составление уравнений или систем уравнений ГДЗ Мордкович 9 класс (Алгебра)
Решение #1
Решение #2

Рассмотрим вариант решения задания из учебника Мордкович 9 класс, Мнемозина:
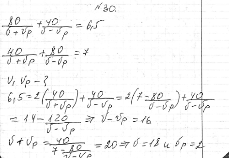
30. Катер может пройти 80 км по течению реки и 40 км против течения за 6 ч 30 мин, а 40 км по течению и 80 км против течения за 7 ч. Определите собственную скорость катера и скорость течения реки.
Похожие решебники
Популярные решебники 9 класс Все решебники
*размещая тексты в комментариях ниже, вы автоматически соглашаетесь с пользовательским соглашением