Упр.23 Итоговое повторение Задачи на составление уравнений или систем уравнений ГДЗ Мордкович 9 класс (Алгебра)
Решение #1
Решение #2

Рассмотрим вариант решения задания из учебника Мордкович 9 класс, Мнемозина:
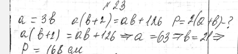
23. Длина прямоугольника в 3 раза больше ширины. Если ширину прямоугольника увеличить на 2 см, то его площадь увеличится на 126 см2. Найдите периметр прямоугольника.
Похожие решебники
Популярные решебники 9 класс Все решебники
*размещая тексты в комментариях ниже, вы автоматически соглашаетесь с пользовательским соглашением