Упр.21 Итоговое повторение Задачи на составление уравнений или систем уравнений ГДЗ Мордкович 9 класс (Алгебра)
Решение #1
Решение #2

Рассмотрим вариант решения задания из учебника Мордкович 9 класс, Мнемозина:
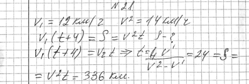
21. Из пункта А в пункт В вышла моторная лодка со скоростью 12 км/ч. Через 4 ч вслед за ней вышла вторая моторная лодка, скорость которой 14 км/ч. Найдите расстояние между пунктами А и В, если обе моторные лодки прибыли в пункт В одновременно.
Похожие решебники
Популярные решебники 9 класс Все решебники
*К сожалению, временные проблемы с публикацией комментариев с мобильных устройств.