Упр.54 Итоговое повторение Уравнения и системы уравнений ГДЗ Мордкович 9 класс (Алгебра)
Решение #1
Решение #2

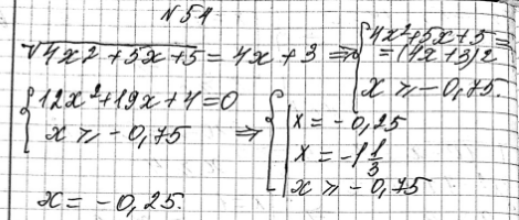
Рассмотрим вариант решения задания из учебника Мордкович 9 класс, Мнемозина:
54. Решите уравнение корень (4x2 + 5x + 5) = 4x + 3.
Похожие решебники
Популярные решебники 9 класс Все решебники
*К сожалению, временные проблемы с публикацией комментариев с мобильных устройств.