Упр.52 Итоговое повторение Уравнения и системы уравнений ГДЗ Мордкович 9 класс (Алгебра)
Решение #1
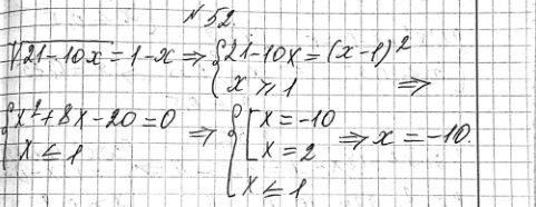
Решение #2

Рассмотрим вариант решения задания из учебника Мордкович 9 класс, Мнемозина:
52. Решите уравнение корень (21 - 10x) = 1 - x.
Похожие решебники
Популярные решебники 9 класс Все решебники
*размещая тексты в комментариях ниже, вы автоматически соглашаетесь с пользовательским соглашением