Упр.6 Вариант 2 Контрольная работа 4 ГДЗ Мордкович 8 класс (Алгебра)
Решение #1
Решение #2

Рассмотрим вариант решения задания из учебника Мордкович 8 класс, Мнемозина:
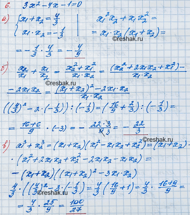
6. Пусть х1 и х2 — корни уравнения 3х2 - 4х - 1 = 0. Не решая уравнения, найдите:
а) x1^2x2 + x1x2^2;
б) x2/x1+x1/x2;
в) x1^3 + x2^3.
Похожие решебники
Популярные решебники 8 класс Все решебники
*размещая тексты в комментариях ниже, вы автоматически соглашаетесь с пользовательским соглашением