Упр.9 Вариант 2 Контрольная работа 2 ГДЗ Мордкович 8 класс (Алгебра)
Решение #1
Решение #2

Рассмотрим вариант решения задания из учебника Мордкович 8 класс, Мнемозина:
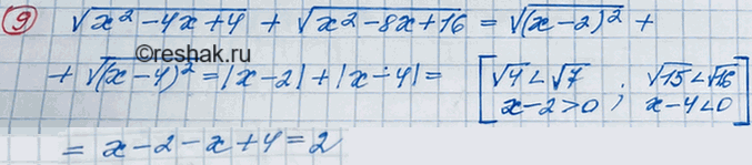
9. Упростите выражение корень (x2 - 4х + 4) + корень (х2 - 8х + 16), если корень 7 < x < корень 15.
Похожие решебники
Популярные решебники 8 класс Все решебники
*размещая тексты в комментариях ниже, вы автоматически соглашаетесь с пользовательским соглашением