Упр.9 Вариант 1 Контрольная работа 2 ГДЗ Мордкович 8 класс (Алгебра)
Решение #1
Решение #2

Рассмотрим вариант решения задания из учебника Мордкович 8 класс, Мнемозина:
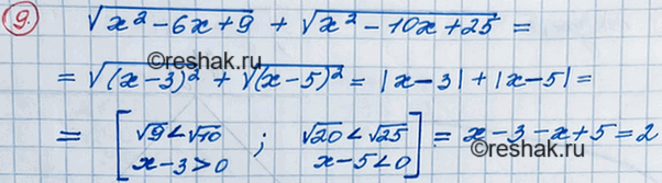
9. Упростите выражение корень (x2 - 6x + 9) + корень (x2 - 10x + 25), если
корень 10 < x < корень 20.
Похожие решебники
Популярные решебники 8 класс Все решебники
*размещая тексты в комментариях ниже, вы автоматически соглашаетесь с пользовательским соглашением