Упр.20 Задачи на повторение ГДЗ Мордкович 8 класс (Алгебра)
Решение #1
Решение #2

Рассмотрим вариант решения задания из учебника Мордкович 8 класс, Мнемозина:
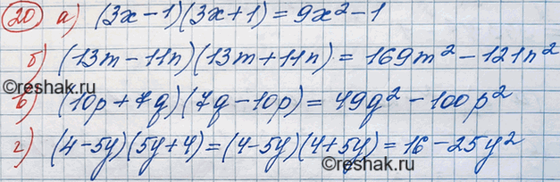
20. Преобразуйте выражение, используя формулы сокращенного умножения:
а) (3x-1)(3x+1); б) (13m-11n)(13m+11n); в) (10p+7q)(7q-10p); г) (4-5y)(5y+4).
Похожие решебники
Популярные решебники 8 класс Все решебники
*размещая тексты в комментариях ниже, вы автоматически соглашаетесь с пользовательским соглашением