Упр.57 Итоговое повторение ГДЗ Мордкович 8 класс (Алгебра)
Решение #1
Решение #2

Рассмотрим вариант решения задания из учебника Мордкович 8 класс, Мнемозина:
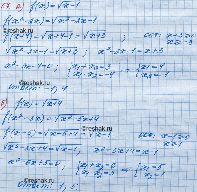
57. а) Дана функция у = f(x), где f(x) = корень (х - 1). При каком значении х выполняется равенство f(x2 - 2х) = f(x + 4)?
б) Дана функция у = f(x), где f(x) = корень (х + 4). При каком значении x выполняется равенство f(x2 - 5x) = f(x - 5)?
Похожие решебники
Популярные решебники 8 класс Все решебники
*К сожалению, временные проблемы с публикацией комментариев с мобильных устройств.