Упр.37.41 ГДЗ Мордкович 8 класс (Алгебра)
Решение #1
Решение #2

Рассмотрим вариант решения задания из учебника Мордкович 8 класс, Мнемозина:
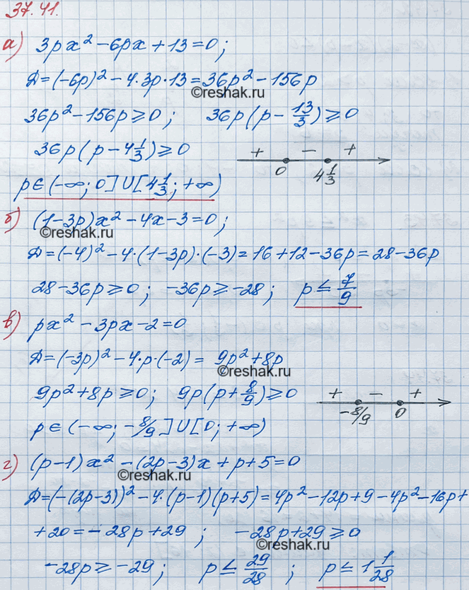
34.41. Найдите все значения параметра р, при которых имеет действительные корни уравнение:
а) 3рx2 - 5рx + 13 = 0;
б) (1 - 3р)х2 - 4х - 3 = 0;
в) рх2 - 3рх -2 = 0;
г) (р - 1)x2 - (2р - 3)x + р + 5 = 0.
Похожие решебники
Популярные решебники 8 класс Все решебники
*К сожалению, временные проблемы с публикацией комментариев с мобильных устройств.