Упр.37.40 ГДЗ Мордкович 8 класс (Алгебра)
Решение #1
Решение #2

Рассмотрим вариант решения задания из учебника Мордкович 8 класс, Мнемозина:
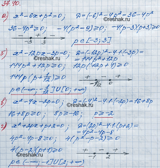
34.40. Найдите все значения параметра р, при которых имеет действительные корни уравнение:
а) х2 -6х+р2 = 0;
б) х2 - 12рх - 3р = 0;
в) х2 - 4х - 2р = 0;
г) х2 + 2рх + р + 2 = 0.
Похожие решебники
Популярные решебники 8 класс Все решебники
*К сожалению, временные проблемы с публикацией комментариев с мобильных устройств.