Упр.37.31 ГДЗ Мордкович 8 класс (Алгебра)
Решение #1
Решение #2

Рассмотрим вариант решения задания из учебника Мордкович 8 класс, Мнемозина:
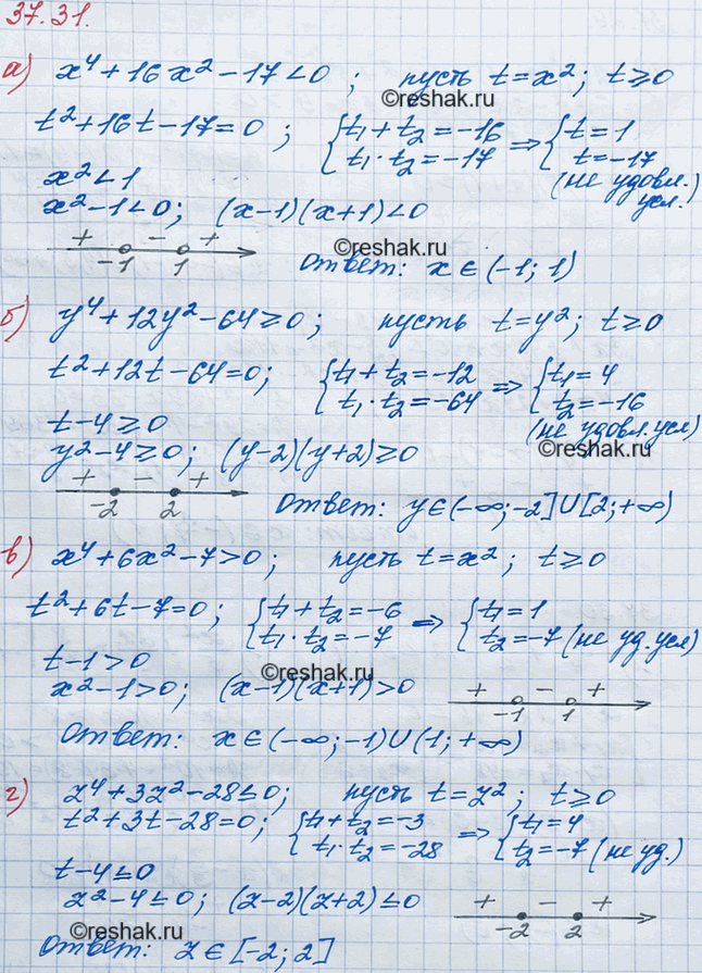
34.31. а) x4 + 16x2 - 17 < 0;
б) у4 + 12у2 - 64 > = 0;
в) x4 + 6x2 - 7 > 0;
г) z4 + 3z2 - 28 < = 0.
Похожие решебники
Популярные решебники 8 класс Все решебники
*К сожалению, временные проблемы с публикацией комментариев с мобильных устройств.