Упр.37.26 ГДЗ Мордкович 8 класс (Алгебра)
Решение #1
Решение #2

Рассмотрим вариант решения задания из учебника Мордкович 8 класс, Мнемозина:
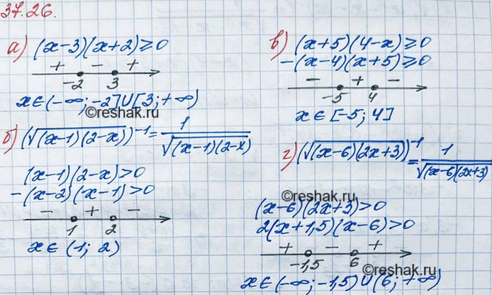
34.26. а) корень ((x-3)(x+2));
б) (корень ((x-1)(2-x))^-1;
в) корень ((х+5)(4-x));
г) (корень ((x-6)(2x+3))^-1.
Похожие решебники
Популярные решебники 8 класс Все решебники
*К сожалению, временные проблемы с публикацией комментариев с мобильных устройств.