Упр.33.22 ГДЗ Мордкович 8 класс (Алгебра)
Решение #1
Решение #2

Рассмотрим вариант решения задания из учебника Мордкович 8 класс, Мнемозина:
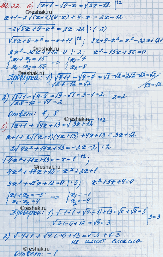
30.22. а) корень (x + 1) - корень (9 - х) = корень (2х-12);
б) корень (х + 1) + корень (4x + 13) = корень (3х + 12);
в) корень (2х + 5) + корень (5х + 6) = корень (12x+25);
г) корень (2х + 3) - корень (4 - х) = корень (7 - х).
Похожие решебники
Популярные решебники 8 класс Все решебники
*размещая тексты в комментариях ниже, вы автоматически соглашаетесь с пользовательским соглашением